کاردانو (ADA)، یک ارز دیجیتال و بلاک چین نسل سوم است که بر اساس مطالعات بررسی شده ساخته شده است، و باعث شده است آن را به عنوان “اولین بلاک چین علمی در دنیای رمزارز” در نظر بگیرند.
یکی از جالبترین پروژههای موجود در جامعه رمزنگاری ، کاردانو (ADA) است. این پروژه در واقع یک اکوسیستم غنی است که نسل سوم بلاک چین محسوب می شود و هدف آن ارائه مقیاس پذیری و امنیت است.
برای دستیابی به این اهداف، کاردانو بر روی زیربنای محکمی از پیشرفت های فن آوری بسیار جالب ساخته شده است. چه چیزی باعث شده تا او به اهداف متعدد و مهمی در این زمینه دست یابد. اما نه تنها این، بلکه نشان داده است که فناوری بلاک چین توانایی رویارویی با چالش های امروز و آینده را بدون مشکل دارد.
به همین دلیل، در این مقاله جدید، همه چیزهایی را که باید در مورد کاردانو بدانید، نحوه عملکرد آن و برنامه ریزی آن برای متحول کردن جهان یاد خواهید گرفت.
آغاز پروژه کاردانو
صحبت در مورد آغاز کاردانو به عنوان یک پروژه، ما را در وهله اول نشان می دهد که بزرگترین تفاوت آن با بقیه پروژه های بلاک چین است. و این است که کاردانو یک بلاکچین علمی توسعه یافته در نظر گرفته می شود . اما به چه معنی است؟
اولین بلاک چین علمی
خوب، یک لحظه به یاد داشته باشید که بیت کوین با یک پروتکل و کد منبع منتشر شد که توسط یک فرد ناشناس (یا گروهی از افراد) ایجاد شده بود. نه تنها این، آن کد و ایده های تجسم یافته تنها توسط تعداد کمی در جامعه به طور کامل بررسی شد. برای ایده ای مانند بیت کوین که قصد دارد پول دیجیتالی جهان باشد، ممکن است بسیاری فکر کنند که این یک پروژه کمی جدی است. در واقع، این همان چیزی است که بسیاری در ابتدا فکر می کردند. با این حال، این ایده انقلابی بود و تا به امروز ثابت مانده است.
اما، با این حال، چیزی حیاتی در تمام توسعه بیت کوین وجود دارد که به طور اساسی با آن «شکل غیررسمی توسعه» متفاوت است. و بیایید لحظه ای به آن فکر کنیم، بیت کوین تلفیق فناوری های مختلف مانند رمزنگاری نامتقارن و توابع هش است. و همچنین نظریه بازی درختان مرکل ، پروتکل های مقاوم در برابر خطای بیزانسی (BFT) . با بررسی دقیق تر، همه اینها دوره طولانی توسعه، بررسی علمی و بررسی همتایان را در سراسر جهان پشت سر گذاشته اند. مورد دوم چیزی است که بیت کوین از آن عبور کرد، اتریوم و بسیاری از ارزهای دیجیتال دیگر نادیده گرفته شدند: پروتکلهای اولیه آنها صرفاً ایدهای از یک فرد ناشناس بود، بدون بررسی و تأیید علمی دقیق. همه آنها موفق هستند، اما فاقد مشخصه های لازم هستند.
این مطمئناً در Cardano درست نیست، زیرا داستان توسعه آن داستانی است که روش علمی، بررسی همتایان را از اولین تا آخرین کلمه کاغذ سفید (white Paper) خود و همه پیشرفت های آن به کار می گیرد. این نامی را که در بالا به آن اشاره کردیم را برای کاردانو به ارمغان آورده است: یعنی اولین بلاک چین علمی.
منشا ایده
پروژه Cardano توسعه خود را در سال ۲۰۱۵ با ایجاد شرکت IOHK آغاز کرد. این شرکت توسط جرمی وود و چارلز هاسکینسون ایجاد شد . هاسکینسون که در دنیای ارزهای دیجیتال به خوبی شناخته شده است، خود را یک “کارآفرین ارزهای دیجیتال” توصیف می کند. در واقع، هاسکینسون و شناخت او در جامعه نیز از مشارکت او در یکی از پروژههای بزرگ بلاک چین، اتریوم است، جایی که او یکی از بنیانگذاران این ارز دیجیتال بود، تا زمانی که تفاوتها او را به مسیر دیگری هدایت کرد.


با این حال، این امر مانع از این نشد که هاسکینسون، فارغالتحصیل ریاضیات و متخصص در نظریه اعداد، با باز کردن فضاهای آکادمیک اختصاص داده شده به فناوری بلاک چین، مشارکت گستردهای داشته باشد. از جمله کارهای او در دانشگاه ادینبورگ و موسسه فناوری توکیو و همچنین یک پروژه تحقیقاتی بلاک چین در دانشگاه وایومینگ است. تجربیاتی که بعداً به توسعه کاردانو کمک کرد.
پس از دو سال توسعه، کاردانو به یک واقعیت ملموس تبدیل شد. به طور دقیق تر، در ۲۳ سپتامبر ۲۰۱۷، اولین بلاک این ارز دیجیتال با موفقیت استخراج شد و تاریخ غیرقابل تغییر آن آغاز شد.
نام این پروژه، برگرفته از نام جیرولامو کاردانو ، محقق و پزشک ایتالیایی است که به دلیل محاسبات سیستماتیک اولیه احتمالات شناخته شده است. نشانه اصلی آن، ADA ، نام خود را از آدا لاولیس ، ریاضیدان و نویسنده مشهور انگلیسی گرفته شده است که بیشتر به خاطر کارش روی کامپیوتر مکانیکی همه منظوره پیشنهادی چارلز بابیج، موتور تحلیلی، شهرت دارد. از این نقطه نظر، آینده روشن علمی پروژه از هر نظر مشهود است.
در واقع، از همان ابتدا، کاردانو خود را با توضیحات واضح، مجموعه ای واضح از نقاط عطف و توسعه پروژه متمایز کرد. ایده پشت همه اینها نه تنها توضیح واضح کار آنها بود، بلکه نشان دادن این بود که پروژه برای بلندمدت هدف گذاری شده است. و اینکه به دنبال حل مشکلاتی مانند مقیاس پذیری، بهبود تمرکززدایی و امنیت فناوری بلاک چین است. این باعث شد کاردانو به عنوان نسل سوم بلاک چین طبقه بندی شود.
یعنی یکی با قابلیت ارسال و دریافت ارزش (منظور ارزش ارز دیجیتال)، زمان بندی قراردادهای هوشمند و دارای معماری ماژولار و به راحتی قابل تنظیم. اما فراتر از این، کاردانو مسیر توسعه روشنی را دنبال کرده است، مسیری که به آن اجازه داده به نقاط عطف بزرگی دست یابد. و این چیزی است که آنها به لطف حمایت IOHK و جامعه عظیم علمی، کاربران و توسعه دهندگان که حول آن متحد شده است، توانسته اند به آن دست یابند.
کاردانو (ADA) چگونه کار می کند؟
عملیات کاردانو بر اساس گروهی از فناوریهای اندیشیده شده است که همه آنها با هم کار میکنند تا کاردانو را به یک بلاک چین با سرعت بالا تبدیل کنند. از میان این فناوریها، مهمترین آنها را برجسته میکنیم تا شما آنها را بشناسید و تواناییهای آنها را بشناسید.
اوروبوروس، الگوریتم اجماع کاردانو
الگوریتم اجماع کاردانو Ouroboros نام دارد که نوعی الگوریتم اجماع Proof of Stake یا (PoS) است. نام اوروبوروس از نمادی اساطیری گرفته شده که در دوران باستان توسط تمدنهای مختلف و کیمیاگران استفاده میشد و نشاندهنده چرخه بینهایت چیزها است.
با این حال، طراحی Ouroboros فقط به یک نام عجیب و غریب پاسخ نمی دهد. اما به یک جنبه فنی جدی تر، و آن این واقعیت است که Ouroboros یک پروتکل قابل تأیید و قابل تکرار و ایمن در نظر گرفته می شود. این به این دلیل است که این اولین پروتکلی است که برای تأیید این موضوع مورد بررسی گسترده و اثبات ریاضی قرار گرفته است.
این امر حیاتی است زیرا از آنجایی که Ouroboros قلب استخراج و کنترل اجماع شبکه است، انعطاف پذیری آن باید برای عملکرد شبکه حیاتی باشد. به عنوان یک پروتکل PoS، Ouroboros سریع، بسیار مقیاس پذیر، کارآمد در مصرف انرژی است و همه اینها بدون به خطر انداختن امنیت و تمرکززدایی است. در واقع، Ouroboros طوری برنامه ریزی شده است که هر ۲۰ ثانیه یک بلاک جدید برای بلاک چین صادر می کند و در نتیجه سرعت بالای تایید را تضمین می کند. .
دقیقاً این دو نکته آخر است که منجر به تغییرات Ouroboros در مقایسه با پروتکل معمول PoS می شود. به یاد داشته باشید که در PoS، بلوک ها توسط اعتبار سنجی ها ایجاد می شوند که با قرعه کشی در شبکه انتخاب می شوند. با افزایش مشارکت (که در توکن های مسدود شده اندازه گیری می شود) شانس انتخاب شدن افزایش می یابد.
در حال حاضر پیاده سازی های متعددی از Ouroboros وجود دارد، مورد استفاده شده در Cardano در حال حاضر نام Ouroboros Praos را دریافت می کند و نسخه بعدی Ouroboros Hydra نام دارد.
اسلات ها و دوره ها، در داخل Ouroboros
اما در Ouroboros می توانیم دو مفهوم جدید را ببینیم که در سایر سیستم های PoS دیده نمی شوند. ما در مورد فواصل (شاخه ها) و چرخه ها (دوران) صحبت می کنیم. فواصل یا اسلات ها در Ouroboros فواصل زمانی هستند که ۱ ثانیه طول می کشد. در حالی که دوره ها یا چرخه ها، مدت زمان ۵ روز در ۴۳۲۰۰۰ اسلات دارند. تولید این اسلاتها و دورهها نیز به سیستم PoS پاسخ میدهد، بنابراین تضمین میکند که میتوان آنها را همیشه و تحت یک سیستم تولید غیرمتمرکز تولید کرد.
این محافظت قوی در برابر شرکتکنندگان مخربی که به دنبال براندازی پروتکل هستند، ارائه میکند، زیرا اعتبارسنجی آن فقط در زمان مربوطه، در یک بازه زمانی ۲۰ ثانیهای انجام میشود، در غیر این صورت، آنها باید منتظر یک فرآیند انتخاباتی جدید برای شرکت باشند. علاوه بر این، از بلوک های تولید شده توسط بقیه نامزدها، تنها یکی از آنها به زنجیره می رسد در حالی که بقیه رد می شوند، سازماندهی مجدد زنجیره و تولید غیرارادی فورک ها در آن کاهش می یابد.
بنابراین ما داریم که Ouroboros بلوک های تراکنش را پردازش می کند و زنجیره ها را به دوره هایی تقسیم می کند که به بازه های زمانی تقسیم می شوند. یک لیدر اسلات برای هر شکاف زمانی انتخاب می شود و مسئول اضافه کردن یک بلوک به زنجیره است. برای محافظت در برابر تلاشهای متخاصم برای براندازی پروتکل، هر رهبر شکاف جدید باید آخرین بلوکهای زنجیره دریافتی را گذرا در نظر بگیرد: فقط زنجیره قبل از تعداد از پیش تعیینشده بلوکهای گذرا حلشده در نظر گرفته میشود.
همچنین به عنوان تسویه تاخیری شناخته می شود و مکانیزمی است که از طریق آن دفتر کل به طور ایمن بین شرکت کنندگان منتقل می شود. در پایان این جریان، رهبر زمان، دوره را اجرا می کند، آن را امضا می کند و روند را ادامه می دهد.
استخرهای سهام، تمرکز قدرت سهامداری
استخر سهام ، چیزی نیست جز یک گره قابل اعتماد که بر حفظ و تمرکز منافع ترکیبی چندین گره در یک موجودیت واحد متمرکز است. به عبارت دیگر، آنها معادل استخرهای ماینینگ هستند، فقط این بار آنها قدرت ماینینگ را متمرکز نمی کنند، بلکه اعتماد، رای و تفویض اختیار برای تولید بلوک ها در Cardano با استفاده از پروتکل Ouroboros دارند.
سیاست پولی پروژه
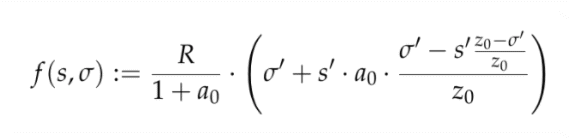
اول از همه، حداکثر صدور سکه در Cardano در مجموع ۴۵ میلیارد توکن ADA است. این در یک سیستم انتشار کاهش تورم، که به صورت پویا با در نظر گرفتن فرمول و متغیرهای زیر تنظیم می شود:


این عناصر به شرح زیر تعریف می شوند:
پاسخ: مجموع جوایز موجود برای این فصل. یعنی تعداد سکه هایی که هنوز باید منتشر شود.
a0: ضریب تأثیر مخزن سهام (می تواند بین ۰ تا بی نهایت باشد)
z0: اندازه اشباع نسبی گروه، یعنی ۰.۵٪ بر اساس تعداد مورد نظر گروه (k = 200)
σ: مشارکت تفویض شده به گروه (شامل مشارکت انجام شده توسط مالکان و مشارکت واگذار شده توسط دیگران)
σ ‘= min (σ, z0) – مانند σ، اما محدود به z0
s – سهم وعده داده شده توسط مالکان
s’ = min (s, z0) – مانند s، اما محدود به z0
یک سیستم نسبتاً پیچیده، اما سیستمی که برای سیستم پولی مدیریت شده توسط کاردانو ایده آل است. در واقع، پاداش معمول برای هر بلوک تولید شده نزدیک به ۷۵۰ ADA در هر بلوک است (در دوره ۲۴۲).
CCL و CSL، لایه های عملیاتی کاردانو
یکی دیگر از بخش های مهم عملیات کاردانو این است که شبکه آن در واقع به دو لایه کاملاً تعریف شده تقسیم می شود و از مفهوم یکپارچه سایر بلاک چین ها فاصله می گیرد. این لایه ها CCL و CSL نامیده می شوند.
CSL لایه ای است که همه چیز مربوط به دفتر کل یا تاریخچه کاردانو و همچنین مجموعه اصلی قوانین اجماع شبکه را مدیریت می کند. در این لایه است که پروتکل اجماع، صدور پاداش و رسیدگی به تراکنش های شبکه صورت می گیرد.
با این حال، قابلیت های CSL به همین جا ختم نمی شود، زیرا این لایه برای انجام وظایف زیر طراحی شده است:
- این زبان برنامه نویسی لازم برای انجام عملیات در شبکه را کنترل می کند.
- ویژگی هایی برای افزایش حفاظت از همپوشانی تراکنش ها و همچنین توانایی ارائه قابلیت همکاری زنجیره جانبی.
- پشتیبانی از انواع مختلفی از امضاهای رمزنگاری، از جمله مقاوم در برابر کوانتومی.
- مدولار بودن و توسعه پذیری
از سوی دیگر، CCL لایه ای است که مسئول حفظ تمام اطلاعات در مورد آنچه که با تراکنش های انجام شده روی پلتفرم اتفاق می افتد، است. ایده این CCL شامل قابلیت های اضافی است که بر اجماع پایه شبکه، بر اساس لایه CSL تأثیر نمی گذارد.
این امر به کاردانو اجازه میدهد تا قوانین اجماع اضافی را بر روی این لایه اعمال کند، و به آن اجازه میدهد به شبکههای دیگر بپیوندد و با آنها تعامل داشته باشد، بدون اینکه بر هسته فناوری خود تأثیر بگذارد و تکامل شبکه را به عنوان یک کل تسهیل کند. به این ترتیب، کاردانو میتواند روی قراردادهای هوشمند حساب کند (با فعالسازی پلوتوس و بهروزرسانی او گوگوئن)، اگرچه این تنها استفاده یا امکان او نیست.
یکی دیگر از ظرفیت های CCL این است که قراردادهای هوشمند را می توان به ماشین های مجازی لازم برای پردازش هدایت کرد. قراردادهای هوشمند Cardano به صورت بومی به زبان Haskell نوشته می شود که نوشتن آنها را بسیار آسان و بسیار قدرتمند می کند. اما، CCL میتواند این امکان را با امکان پیوستن به یک زیرساخت سازگار با EVM Ethereum گسترش دهد، اجازه میدهد قراردادها در Solidity نوشته شده و در شبکه اجرا شوند و بر آن تأثیر بگذارند.
ADA، نشانه بومی کاردانو
نشانه اصلی کاردانو همانطور که در مورد آن بحث کردیم ADA است. ایده پروژه Cardano تبدیل ADA به یک توکن درجه یک و پیشی گرفتن از بیت کوین یا اتریوم با اجازه دادن به تراکنش های ارزان و ایمن است. و در عین حال، نماد اصلی یک پلتفرم با قراردادهای هوشمند مقیاس پذیر قدرتمند است.
البته، در این مسیر، ADA تاکنون راه درازی را طی کرده است و خود را به عنوان یکی از ۱۰ ارز دیجیتال بزرگ در جهان با سرمایه بیش از ۸ میلیارد یورو معرفی کرده است.
از این نظر، فعالسازی بهروزرسانیهای Goguen، Basho و Voltaire در شبکه Cardano مطمئناً منجر به انفجار در ارزش Cardano میشود، بنابراین توسعه آن تا سال ۲۰۲۲ برای جامعه کریپتو بسیار جالب خواهد بود.
آینده کاردانو
در ابتدا به شما گفتیم که Cardano یک نقشه راه توسعه بسیار واضح دارد، نقشهای که آنها با موفقیت انجام دادهاند.
در حال حاضر، کاردانو در سن شلی است که در ژوئن ۲۰۲۰ فعال شد. به لطف شلی، شبکه توانست تمرکززدایی شبکه را بهبود بخشد و همچنین مقیاس پذیری خود را با استفاده از الگوریتم اجماع Ouroboros Praos بهبود بخشد. در نتیجه، شبکه غیرمتمرکز، امن، سریع و مقیاس پذیرتر شد. اما هنوز راه زیادی در پیش است و این مسیر با بروزرسانی های جالبی مشخص شده است که در ادامه در مورد آنها صحبت خواهیم کرد.
گوگن، ورود قراردادهای هوشمند
قدم بعدی کاردانو گنجاندن قراردادهای هوشمند در شبکه خود است و این امر با ورود Goguen محقق خواهد شد. با این به روز رسانی، Cardano توانایی نگهداری DApps را در شبکه خود خواهد داشت که با استفاده از زبان برنامه نویسی Plutus، اقتباسی از Haskell برای این بلاک چین، برنامه ریزی می شوند. در واقع پلوتوس از قبل قابل بررسی است و نسخه پایدار آن منتشر شده است.
باشو، بهینه سازی پلت فرم
دومین به روز رسانی اصلی باقی مانده در نقشه راه فعلی Cardano، Basho است و هدف آن بهینه سازی پلتفرم تا حد امکان است. هدف اصلی این بهروزرسانی، قابلیت همکاری و گنجاندن زنجیرههای جانبی است که به Cardano اجازه میدهد خدمات خود را به روشی بسیار بهینهتر و با حداقل دو مرتبه در قابلیتهای خود ارائه دهد.
به این ترتیب، به طور کلی، دوره باشو شاهد تبدیل شدن کاردانو به یکی از با عملکرد بالا، انعطافپذیرترین و انعطافپذیرترین پلتفرمهای بلاک چین در صنعت خواهد بود. این یک زیرساخت شبکه با توانایی مقیاس پذیری به شیوه ای پایدار و ایمن و همچنین توانایی افزودن عملکردهای جدید بدون به خطر انداختن قابلیت اطمینان در هسته شبکه را فراهم می کند.
ولتر، حاکمیت زنجیره ای برای پروژه
آخرین مرحله کاردانو دستیابی به حکومت زنجیره ای و همراه با آن، تمرکززدایی بیشتر از آنچه با شلی به دست آمد، و همچنین دستیابی به خودکفایی در توسعه آن است.
برای انجام این کار، ولتر یک زیرساخت حاکمیتی روی زنجیره و یک سیستم خزانه داری غیرمتمرکز ایجاد خواهد کرد تا تامین مالی پروژه و توسعه سالم آن در طول زمان حفظ شود. در این مرحله، IOHK دیگر بازوی اقتصادی کاردانو نخواهد بود و این پروژه در سرنوشت خود آزادی کامل خواهد داشت.
نتیجه گیری
در این مرحله بسیار واضح است که کاردانو یک پروژه بسیار خوب فکر شده است. کیفیت اسناد فنی آن، تولید مفاهیم جدید و جالب برای این فناوری، تنها نمونه ای از پتانسیل هایی است که کاردانو در اختیار دارد.
علاوه بر این، توکن ADA آن شاید یکی از سریعترین ارزهای در حال رشد در حال حاضر در جامعه رمزنگاری باشد، که جایگاهی بالاتر از پروژههایی با تجربه بیشتر مانند Litecoin (LTC)، بیتکوین کش (BCH) و نزدیکتر شدن به سایر ارزها مانند Ripple دارد. XRP ) و Polkadot (DOT).
اشکال اصلی آن این است که این پروژه هنوز راه زیادی در پیش دارد. فقدان قراردادهای هوشمند و بهروزرسانیهای پیچیده این پلتفرم، آن را در حال حاضر از دیگر بلاکچینها و ارزهای دیجیتال پشت سر گذاشته است. با این حال، این ضعف نسبتاً موقتی است و به زودی Cardano می تواند جهان را شگفت زده کند، زیرا به روز رسانی های اصلی آن با فعال کردن این فناوری ها به صورت بومی در شبکه خود واقعیت دارند.
در هر صورت، کاردانو پروژه ای با توسعه قوی است و بسیاری در درون آن تمام تلاش خود را می کنند تا این پروژه را به یکی از مراجع بزرگ در دنیای کریپتو تبدیل کنند.




